集团首页

 

williamhill中文官网
 公司首页 | 领导关怀 | 公卫概况 | 机构设置 | 团队队伍 | 团队建设 | 教学工作 | 人才培养 | 人才招聘 | 科研工作 | 交流合作 | 社会服务 | 党建工作 
当前位置: 公司首页>>科研动态>>正文
 

公司洪峰教授课题组在胆结石疾病和大气污染颗粒物关联研究方面取得进展

发布时间:2023年02月16日 09:06 来源:williamhill中文官网  编辑:陈峰峰 点击:[]

2023年2月14日,环境科学与毒理学领域专业期刊《Ecotoxicology and Environmental Safety》(中科院二区TOP期刊,IF:7.129)在线发表了公司洪峰教授课题组研究论文“Associations of long-term exposure to particulate matter with gallstone risks in Chinese adults: A large cross-sectional study”。该研究基于人群队列研究探索大气污染颗粒物与胆结石患病风险的关联性,并评估了血脂异常的中介作用。

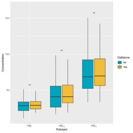
该研究数据来源于国家重点研发计划项目“西南区域自然人群队列研究”基线调查,研究对象来自重庆、四川、贵州和云南四个省份,包括汉族、侗族、苗族、布依族、白族和彝族6个民族共72 893名30-79岁成人。研究发现,胆结石的检出率为7.3%。胆结石组人群暴露于大气污染颗粒物PM1、PM2.5和PM10的浓度要高于非胆结石组(29.04vs. 28.37, 43.86vs. 42.37, and 74.90vs. 72.81mg/m3)(P<0.001)。

图1 大气污染颗粒物在胆结石组和非胆结石组的分布情况

胆结石与大气污染颗粒物PM1、PM2.5和PM10的关联性在调整潜在的协变量后,PM1、PM2.5和PM10暴露的增加与胆结石患病风险的增加呈正相关关系。在全模型中,PM1、PM2.5和PM10含量每增加10g/m3,胆结石患病的风险比值比(OR,95%CI)分别为1.17(1.06,1.28)、1.10(1.05,1.15)和1.07(1.04,1.10)。

分层分析发现PM暴露与胆结石患病风险之间的关联性在男性、饮酒者和中心性肥胖者中更强。男性、饮酒者和向心性肥胖者的环境PM10暴露每增加10g/m3,胆结石患病风险的比值比(OR,95% CI)分别为1.10(1.06,1.15)、1.11(1.03,1.20)和1.09(1.05,1.13)。PM1和PM2.5也得出类似结果。

图2 大气污染颗粒物和胆结石患病风险在不同年龄、性别等分组中的关联性

血脂异常在胆结石与大气污染颗粒物关联中的中介效应分析显示,血脂异常和血脂异常的三种成分(高甘油三酯血症、高低密度脂蛋白胆固醇血症和低高密度脂蛋白胆固醇血症)在PM和胆结石患病风险之间起到部分中介效应。血脂异常对PM和胆结石患病风险关联的间接效应较大,在PM1、PM2.5和PM10中分别为0.36、0.38和0.21,占总效应的比例分别为5.37%、9.13%和7.66%。

研究结果表明长期暴露于可吸入颗粒物可能与中国成年人的胆结石患病风险增加有关,且血脂异常起到部分中介作用。其中,男性、饮酒者和患有向心性肥胖的人在暴露于可吸入颗粒物时患胆结石的风险更高。研究结果为胆结石的形成机制提供与空气污染有关的流行病学证据,并为胆结石的预防和筛查重点提供了新的见解。研究结果需要更多的前瞻性队列研究来提供因果关联的证据。

该研究获得国家重点研发计划项目课题(2017YFC0907300、2017YFC0907301)资助。williamhill中文官网为论文第一单位,论文主要参与单位有:重庆市疾病预防控制中心、四川大学华西​williamhill中文官网、昆明医科大学​williamhill中文官网、成都市郫都区疾病预防控制中心、西藏大学医公司等。2020级博士研究生聂婵与重庆市CDC李志峰主任医师为共同第一作者。williamhill中文官网洪峰教授、复旦大学阚海东教授和重庆市CDC李志峰主任医师为共同通讯作者。


上一条:公司王柱红副教授团队在禽类汞代谢特征及相关机理研究方面取得新进展 下一条:王惠群副教授课题组在贵州苗族红酸汤的健康作用研究方面取得新进展

关闭

 
.

 

版权所有 威廉希尔williamhill(亚洲)公司 - 中文官网  地址:贵州省贵安新区安康大道6号williamhill中文官网

电话:0851-88682217  邮编:561113